skip to main
|
skip to sidebar
MATEMATIKAKU
Kamis, 03 Mei 2018
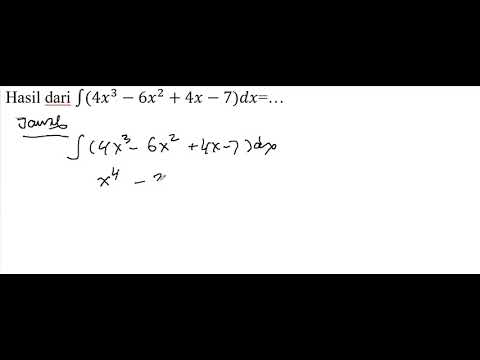
Matematika Wajib Integral tak tenstu Dasar
Tidak ada komentar:
Posting Komentar
Posting Lebih Baru
Posting Lama
Beranda
Langganan:
Posting Komentar (Atom)
BAWEAN
FORUM MATEMATIKA
About Me
Muhammad Sodiqun
satukan ucapan hati dan perbuatan
Lihat profil lengkapku
Blog Archive
►
2022
(3)
►
November
(2)
►
Oktober
(1)
►
2020
(9)
►
Juli
(6)
►
Juni
(1)
►
April
(2)
►
2019
(56)
►
Oktober
(2)
►
Juli
(4)
►
April
(1)
►
Maret
(6)
►
Februari
(12)
►
Januari
(31)
▼
2018
(339)
►
Desember
(15)
►
November
(9)
►
Oktober
(20)
►
September
(19)
►
Agustus
(35)
►
Juli
(6)
▼
Mei
(85)
MATEMATIKA WAJIB JARAK TITIK KE GARIS
MATEMATIKA WAJIB DIMENSI TIGA JARAK TITIK KE TITIK
MATEMATIKA WAJIB DIMENSI TIGA JARAK TITIK KE TITIK
Matematika TKD Saintek IPA 2018 Integral Volume Be...
Matematika TKD Saintek IPA 2018 Limit Aljabar deng...
Matematika TKD Saintek IPA 2018 Persamaan lingkran...
Matematika TKD Saintek IPA 2018 Dimensi tiga jarak...
Matematika TKD Saintek IPA 2018 Barisan Geometri
Matematika TKD saintek IPA 2018 Peluang aturan Pe...
Matematika Saintek TKD 2018 Suku Banyak Polinom Te...
Matematika Sintek IPA SBMPTN 2018 Trnasformasi Geo...
Matematika Peminatan Suku Banyak Polinom Mencari k...
Matematika Peminatan Suku Banyak Polinom Mencari H...
Matematika peminatan Menentukan persamaan Lingkara...
Matematika Peminatan Menentukan persamaan garissin...
Matematika peminatan Menentukan Koefisien suku Ban...
Matematika peminatan Menentukan Koefisien suku Ban...
Matematika peminatan Menentuka Suku Banyak Jika di...
Matematika Peminatan Suku Banyak Polinom Menentuka...
Matematika Peminatan Suku Banyak Polinom Menentuka...
Matematika Peminatan Persamaan garissinggung Lingk...
Matematika Wajib Transformasi Pencerminan thdp sum...
Matematika Wajib Transformasi Pencerminan thdp gar...
Matematika Wajib Transformasi Pencerminan thdp su...
Matematika Wajib Transformasi Pencerminan thdp su...
Matematika Wajib Transformasi Pencerminan thdp su...
Matematika Wajib Transformasi Pencerminan thdp su...
Matematika Wajib Transformasi Pencerminan thdp su...
Matematika Wajib Transformasi Pencerminan thdp su...
Matematika Wajib Transformasi Pencerminan thdp su...
Matematika Wajib Transformasi Pencerminan thdp su...
Matematika Wajib Transformasi Geometri menentukan ...
Matematika Wajib Transformasi Geometri Translasi K...
Matematika wajib transformasi geometri menentukan ...
Matematika wajib Transformasi Geometri Translasi,m...
Matematika wajib Transformasi Geometri Translasi,m...
Matematika wajib Transformasi Geometri Translasi,m...
Matematika wajib Transformasi Geometri Translasi,m...
Matematika Wajib Persamaan garissinggung Lingkaran...
Matematika Wajib Persamaan garissinggung Lingkaran...
Matematika TKD SAINTEK IPA luas irisan dua lingkaran
Matematika Wajib Barisan deret Geometri jumlah 3 s...
Matematika Wajib Barisan deret Geometri jumlah 3 s...
Matematika wajib Barisan Aritmatika menentukan jik...
Matematika Wajib barisan Aritmatika menentuka Un j...
Matematika Wajib Barisan aritmatika Menentuka suku...
Matematika Wajib Barisan Aritmatika Aplikasi Baris...
Matematika Wajib Barisan aritmatika Aplikasi Baris...
Matematia Wajib Barisan Geometri Menentuka suku ke...
Matematia Wajib Barisan Geometri Menentuka suku ke...
Matematika Wajib Turunan Aplikasi Turunan Menentuk...
Matematika Wajib Turunan Aplikasi turunan menentuk...
Matematika Wajib Turunan Aplikasi Turunan menentuk...
Matematika wajib Turunan Aplikasi turunan mengitun...
Matematika Wajib Turunan Dalil Rantai
Matematika Wajib Turunan Dalil Rantai
Matematika Wajib Turunan Dalil Rantai
Matematika Wajib Turunan Dalil Rantai
Matematika Wajib Turunan Aplikasi Dalil Rantai laj...
Matematika Wajib Turunan Aplikasi Dalil Rantai laj...
Matematika Wajib Turunan Aplikasi Dalil Rantai laj...
Matematika Wajib Turunan Aplikasi Dalil Rantai laj...
Matematika Wajib Turunan Aplikasi Dalil Rantai laj...
Matematika Wajib Turunan Aplikasi Dalil Rantai men...
Matematika Wajib Intergral tertentu Nilainya diket...
Matematika Wajib Intergral Subtitusi 1
Matematika wajib Integral Tak Tentu
Matematika Wajib Integral tak tentu menentukan per...
Matematika wajib Integral Tak Tentu 2
Matematika Wajib Integral Tak Tentu 1
Matematika Wajib Integral tak tenstu Dasar
Matematika Wajib Integral Subtitusi fungsi Aljabar
Matematika Wajib Turunan Menentukan Tempat Stasioner
Matematika Wajib turunan Fungsi Interval turun
Matematika wajib Turunan Fungsi Persamaan garissin...
Matematika wajib Turunan Fungsi Persamaan garissin...
Matematika wajib Turunan Fungsi Persamaan garissin...
Matematika wajib Turunan Fungsi Persamaan garissin...
Matematika Wajib Fungsi Turunan Nilai Stasioner
Matematika Wajib Turunan Fungsi Pecahan
Matematika Wajib turunan Fungsi 1
Matematika Wajib turunan Fungsi 1
Matematika Wajib Fungsi turunan
Matematika Wajib Fungsi turunan
Matematika Wajib Fungsi turunan
►
April
(134)
►
Februari
(10)
►
Januari
(6)
►
2017
(39)
►
September
(13)
►
Agustus
(26)
►
2016
(1)
►
November
(1)
►
2015
(8)
►
Agustus
(8)
►
2012
(15)
►
Juni
(3)
►
April
(3)
►
Maret
(7)
►
Februari
(1)
►
Januari
(1)
►
2011
(42)
►
Desember
(13)
►
November
(8)
►
Oktober
(21)
Pengikut
JAM
Diberdayakan oleh
Blogger
.
Tidak ada komentar:
Posting Komentar