skip to main
|
skip to sidebar
MATEMATIKAKU
Kamis, 19 April 2018
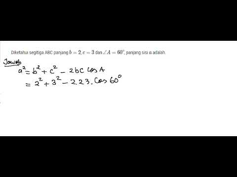
Cntoh Soal Aturan Cosinus No 2
Tidak ada komentar:
Posting Komentar
Posting Lebih Baru
Posting Lama
Beranda
Langganan:
Posting Komentar (Atom)
BAWEAN
FORUM MATEMATIKA
About Me
Muhammad Sodiqun
satukan ucapan hati dan perbuatan
Lihat profil lengkapku
Blog Archive
►
2022
(3)
►
November
(2)
►
Oktober
(1)
►
2020
(9)
►
Juli
(6)
►
Juni
(1)
►
April
(2)
►
2019
(56)
►
Oktober
(2)
►
Juli
(4)
►
April
(1)
►
Maret
(6)
►
Februari
(12)
►
Januari
(31)
▼
2018
(339)
►
Desember
(15)
►
November
(9)
►
Oktober
(20)
►
September
(19)
►
Agustus
(35)
►
Juli
(6)
►
Mei
(85)
▼
April
(134)
Matematika Wajib Limit Aljabar x mendekati tak h...
Matematika Wajib Limit Aljabar deg Rumus 1
Matematika Wajib Limit Aljabar Dengan pemisalan Ke...
Matematika Wajib Limit Aljabar Dengan pemisalan Ke...
Matematika Wajib Limit Aljabar Dengan pemisalan Ke...
Matematika Wajib Limit Aljabar Dengan pemisalan Ke...
Matematika Wajib Limit Aljabar Dengan pemisalan Ke...
Matematika Wajib Limit Aljabar Dg Merasionalkan
Matematika Wajib Limit Aljabar dengan Menfaktorkan
Matematika Peminatan Persamaan Linkaran melalui (a...
Matematika Peminatan Persamaan Linkaran melalui (a...
Matematika Peminatan Persamaan Lingkaran pusat di ...
Matematika Peminatan Persamaan Lingkaran pusat a,b...
Matemaika Peminatan Persamaan Lingkaran melalui uj...
Matemaika Peminatan Persamaan Lingkaran melalui uj...
Matematika Peminatan Suku Banyak Polinom Menentuka...
Matematika Peminatan Menentukan Suku Banyak Jika D...
Matematika Peminatan Menentukan Suku Banyak Jika D...
Matematika Peminatan Menentukan Suku Banyak Jika D...
Matematika Peminatan Menentukan Suku Banyak Jika D...
Matematika Peminatan Menentukan Suku Banyak Jika D...
Matematika Peminatan Menentukan Suku Banyak Jika D...
Matematika Peminatan Menentukan Suku Banyak Jika D...
Matematika Peminatan Pembagian Suku Banyak Dengan ...
Matematika Peminatan Pembagian Suku Banyak Dengan ...
Matematika Peminatan Menentukan Koefisien Suku Ba...
Matematika Peminatan Menentukan Koefisien Suku Ba...
Matematika Peminatan Menentukan Koefisien Suku Ba...
Matematika Peminatan Menentukan Sisa Pembagian suk...
Matematika Peminatan Mencari sisa suku Banyak deng...
Matematika Peminatan Mencari sisa suku Banyak deng...
Matematika Peminatan Mencari sisa suku Banyak deng...
Matematika Peminatan Mencari sisa suku Banyak deng...
Matematika Peminatan Mencari sisa suku Banyak deng...
Matematika Peminatan Mencari sisa suku Banyak deng...
Matematika Peminatan Menentuka sisa suku Banyak si...
Matematika Peminatan Menentuka sisa suku Banyak si...
Matematika Peminatan Menentuka sisa suku Banyak si...
Matematika Peminatan Menentuka sisa suku Banyak si...
Matematika Peminatan Menentuka sisa suku Banyak si...
Matematika Peminatan Menentuka sisa suku Banyak si...
Matematika Peminatan Menentuka sisa suku Banyak si...
Matematika Peminatan Menentuka sisa suku Banyak si...
Matematika Peminatan Menentuka sisa suku Banyak si...
Matematika Peminatan Menentuka sisa suku Banyak si...
Matematika Peminatan Menentuka sisa suku Banyak si...
Matematika Peminatan Menentuka sisa suku Banyak si...
Matematika Peminatan Menentuka sisa suku Banyak si...
Matematika Peminatan Menentuka sisa suku Banyak si...
Matematika Peminatan Menentuka sisa suku Banyak si...
Matematika Peminatan Menentuka sisa suku Banyak si...
Matematika Peminatan Menentuka sisa suku Banyak si...
Matematika Peminatan Menentuka sisa suku Banyak si...
Matematika Peminatan Menentuka sisa suku Banyak si...
Matematika TKD SAINTEK Limit Trigonometri 2
Matematika TKD SAINTEK Peluang 1
Matematika TKD SAINTEK Sifat sifat Integral
Matematika SAINTEK TKD Turunan Fungsi Majmuk Dalil...
Matematika SAINTEK TKD Turunan Fungsi Majmuk Dalil...
Matematika SAINTEK TKD Turunan Fungsi Majmuk Dalil...
Matematika SAINTEK TKD Turunan Fungsi Majmuk Dalil...
Matematika TKD SAINTEK Sudut Antara Dua Vektor 1
Matematika TKD SAINTEK Polinom Sisa Pembagian Suku...
Matematika TKD SAINTEK IPA Persamaan Linear Dua V...
Matematika TKD SAINTEK Limit Trigonometri
Matematika TKD SAINTEK Limit Trigonometri
Matematika Dasar Dimensi Tiga
Matematika Dasar Dimensi Tiga
Matematika Dasar Dimensi Tiga
Matematika Dasar Dimensi Tiga
Matematika Dasar Dimensi Tiga
Matematika Dasar Dimensi Tiga
Matematika Dasar Barisan Geometri
`Matematika Dasar Peluang Prinsip Perkalian
Matematika Dasar Luas Segitiga
Matematika Dasar limit Aljabar pembilang kuadrat
Matematika Dasar Integral Tak tentu
Matematika Dasar Integral Tak tentu
Matematika Dasar Integral Tak tentu
Matematika Dasar Integral Tak tentu
Matematika Dasar Integral Tak tentu
Matematika Dasar Integral Tak tentu
Matematika Dasar Integral Tak tentu
Matematika Dasar Barisan Aritmatika
Matematika Dasar Barisan Aritmatika
Matematika SAINTEK IPA Persamaan Trigonometri
Matematika SAINTEK IPA Sudut antara dua vektor
Matematika SAINTEK IPA Sudut antara dua vektor
Matematika SAINTEK IPA Sudut antara dua vektor
Matematika SAINTEK IPA Sudut antara dua vektor
Matematika SAINTEK IPA Sudut antara dua vektor
Matematika SAINTEK IPA Sudut antara dua vektor
MatematikaSAINTEK IPA Bunga Majmuk
MatematikaSAINTEK IPA Pertidaksamaan pecahan penye...
Matematika SAINTEK IPAPersamaan Linear Dua Vriable
Matematika Dasar Menentukan Daerah Hasil Komposisi...
Matematika Dasar Persamaan Matriks
Matematika Dasar Persamaan Matriks
Matematika Dasar Persamaan Matriks
Matematika Dasar Persamaan Matriks
►
Februari
(10)
►
Januari
(6)
►
2017
(39)
►
September
(13)
►
Agustus
(26)
►
2016
(1)
►
November
(1)
►
2015
(8)
►
Agustus
(8)
►
2012
(15)
►
Juni
(3)
►
April
(3)
►
Maret
(7)
►
Februari
(1)
►
Januari
(1)
►
2011
(42)
►
Desember
(13)
►
November
(8)
►
Oktober
(21)
Pengikut
JAM
Diberdayakan oleh
Blogger
.
Tidak ada komentar:
Posting Komentar