skip to main
|
skip to sidebar
MATEMATIKAKU
Rabu, 15 Agustus 2018
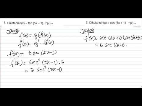
2 Turunan Fungsi Trigonometri
Tidak ada komentar:
Posting Komentar
Posting Lebih Baru
Posting Lama
Beranda
Langganan:
Posting Komentar (Atom)
BAWEAN
FORUM MATEMATIKA
About Me
Muhammad Sodiqun
satukan ucapan hati dan perbuatan
Lihat profil lengkapku
Blog Archive
►
2022
(3)
►
November
(2)
►
Oktober
(1)
►
2020
(9)
►
Juli
(6)
►
Juni
(1)
►
April
(2)
►
2019
(56)
►
Oktober
(2)
►
Juli
(4)
►
April
(1)
►
Maret
(6)
►
Februari
(12)
►
Januari
(31)
▼
2018
(339)
►
Desember
(15)
►
November
(9)
►
Oktober
(20)
►
September
(19)
▼
Agustus
(35)
7 Soal Jawab
7 Soal Jawab
6 Pertidaksamaan Irrasional
5 Persamaan Irrasional
2 Program Linear
1 Program Linear
1 Sudut dalam Dimensi Tiga
4 Pertidaksamaan Rasional
4 Pertidaksamaan Rasional
3 Pertidaksamaan Polinomial
2 Pertidaksamaan Rasional dan Irrasioanl
1 Pertidaksamaan Rasional dan Irrasional
3 Turunan Fungsi Trigonometri
2 Turunan Fungsi Trigonometri
1 Turunan Fungsi Trigonometri
3 Soal Jawab Persamaan dan Pertidaksamaan Nilai M...
2 Soal Jawab persamaan dan pertidaksamaan Nilai M...
1 Soal Jawab Persamaan dan Pertidaksamaan Nilai M...
3 Fungsi Eksponen
5 Soal Jawab Pertidaksamaan Nilai Mutlak
4 Soal jawab Pertidaksamaan Nilai Mutlak
3 Soal Jawab Persamaan dan Pertidaksamaan Nilai Mu...
3 Soal Jawab Persamaan dan Pertidaksamaan Nilai Mu...
3 Soal Jawab Persamaan dan Pertidaksamaan Nilai Mu...
1 Matematika peminatan xi mipa persamaan trigonometri
2 Fungsi Eksponen
1.Limit Fungsi Trigonometri
3. Soal jawab Notasi Sigma
1.Matematika Peminatan x MIPA Fungsi Eksponen
4 No 14 dan 15
2 Soal 4 sd 7
1 Soal No 1- 3
2 Jarak titik ke garis
Induksi Matematika
SOAL JAWAB LIMIT FUNGSI TRIGONOMETRI
►
Juli
(6)
►
Mei
(85)
►
April
(134)
►
Februari
(10)
►
Januari
(6)
►
2017
(39)
►
September
(13)
►
Agustus
(26)
►
2016
(1)
►
November
(1)
►
2015
(8)
►
Agustus
(8)
►
2012
(15)
►
Juni
(3)
►
April
(3)
►
Maret
(7)
►
Februari
(1)
►
Januari
(1)
►
2011
(42)
►
Desember
(13)
►
November
(8)
►
Oktober
(21)
Pengikut
JAM
Diberdayakan oleh
Blogger
.
Tidak ada komentar:
Posting Komentar